无主灯的兴起,让更多的设计师、业主对射灯越来越重视,但往往了解的不多,提一些令人无法回复的问题。这是不正常的,我们不能、也不应该让所有的用户都变成专家。只是现实中,信任太难,唯有专业,才能收获更多的信任。
很多客户、设计师们常常会问,你们的射灯刺眼吗?常常不知如何作答。你要是回答,会刺眼,他们就会说,那防眩效果不好;你要是回答,不刺眼,那自己又是在说假话。
那防眩射灯,到底,刺不刺眼?有没有不刺眼的射灯?什么叫做防眩?防眩衡量的指标是啥?趁出不了门,好好聊聊。
首先,灯,不管叫啥灯,防眩的射灯、不防眩的射灯、球泡灯、面板灯,只要会发光的,甚至手电筒、蜡烛、萤火虫,都会刺眼!没有不刺眼的射灯,除非你不打开、或者这个灯坏了。需要研究和探讨的是,怎么做让人们感觉不刺眼。对的,就是感觉。
防眩,是一个环境空间的指标,而不是灯具的指标。说一个空间的防眩指数小于19也好20也好,是正确的描述。但是说一个灯具的防眩指数小于多少,那个错误的描述。
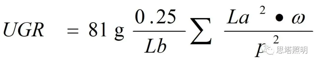
防眩衡量的指标是UGR,可以用下面这个公式来表示。

看上去很复杂,我们不需要定量去看,我们看看这四个变量的影响因素就好。

可以看出,La、P和环境相关,Lb和ω和灯具相关。Lb和P越大,UGR越小;La和ω越小,UGR越小。
Lb作为背景亮度,比较容易理解。比如,晚上开车,对面的远光灯,你会觉得刺眼,白天就不会。我们重点探讨与灯具相关的两个参数。
La,
通过它的单位cd/m2,我们可以从两个角度降低。一是、降低表面光强,二是、增大发光面。然而,降低表面光强会降低光通量。增大发光面的方式,合适面板灯,对于射灯并不适用。
ω,
ω=A/r2,其中A表示能看到的光源外露面积,r表示发光部件中心到观察者眼睛之间的距离。
所以,对于射灯,只有减少光源的外露面积,可以有效的降低UGR,尽管这样的方式会对光束角有影响。这就是我们常说的深藏防眩。这就是常说的遮光角。
对于灯具本身来说,可以用下面的图片来说明。

图片来源:听小瓶子唱歌
遮光角指光源发光体最外沿一点和灯具出光口边沿的连线与通过光源光中心的水平线之间的夹角。
为了防眩更好,射灯一般都加了防眩罩,双重防眩射灯。如下图,红色部分是LED光源位置。

双重,指的是,一重,光学部分的防眩,比如透镜、反光杯(黑光反光杯),二重,防眩罩。需要重点说明的是,防眩罩,很多时候都是没有光学效果的、甚至是破坏光学部分出来的光学效果。好在现在有一部分,防眩罩也做成了三次光学,对光学效果不再是破坏的角色。
回到最初的防眩射灯。现在,你应该对防眩射灯有了一个认知。也明白为什么防眩射灯,也会刺眼了,因为你如果就在灯的正下方去直视、如果背景照度很暗,那肯定会刺眼了。